Reference: https://towardsdatascience.com/linear-algebra-cheat-sheet-for-deep-learning-cd67aba4526c

In the context of deep learning, linear algebra is a mathematical toolbox that offers helpful techniques for manipulating groups of numbers simultaneously. It provides structures like vectors and matrices (spreadsheets) to hold these numbers and new rules for how to add, subtract, multiply, and divide them.
It turns complicated problems into simple, intuitive, efficiently calculated problems. Here is an example of how linear algebra can achieve greater speed and simplicity.
### using python list
x = [1, 2, 3]
y = [2, 3, 4]
result = [x[i] * y[i] for i in range(len(x))]
### using numpy -> 3x faster
result = numpy.array([1, 2, 3]) * numpy.array([2, 3, 4])
Neural networks store weights in matrices. Linear algebra makes matrix operations fast and easy, especially when training on GPUs. In fact, GPUs were created with vector and matrix operations in mind. Similar to how images can be represented as arrays of pixels, video games generate compelling gaming experiences using enormous, constantly evolving matrices. Instead of processing pixels one-by-one, GPUs manipulate entire matrices of pixels in parallel.
Vectors are 1-dimensional arrays of numbers or terms. In geometry, vectors store the magnitude and direction of a potential change to a point. The vector [3, -2] says go right 3 and down 2. A vector with more than one dimension is called a matrix.
There are a variety of ways to represent vectors. Here are a few you might come across in your reading.

Vectors typically represent movement from a point. They store both the magnitude and direction of potential changes to a point. The vector [-2,5] says move left 2 units and up 5 units.

A vector can be applied to any point in space. The vector’s direction equals the slope of the hypotenuse created moving up 5 and left 2. Its magnitude equals the length of the hypotenuse.
Scalar operations involve a vector and a number. You modify the vector in-place by adding, subtracting, or multiplying the number from all the values in the vector.
Figure 4. scalar addition

In elementwise operations like addition, subtraction, and division, values that correspond positionally are combined to produce a new vector. The 1st value in vector A is paired with the 1st value in vector B. The 2nd value is paired with the 2nd, and so on. This means the vectors must have equal dimensions to complete the operation.
Figure 5. vector addition

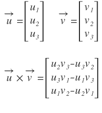
There are three types of vector multiplication: Dot product, Hadamard product, and Cross product.
The dot product of two vectors is a scalar. Dot product of vectors and matrices (matrix multiplication) is one of the most important operations in deep learning.

Hadamard Product is elementwise multiplication and it outputs a vector.

see Wikipedia

A vector field shows how far the point (x,y) would hypothetically move if we applied a vector function to it like addition or multiplication. Given a point in space, a vector field shows the power and direction of our proposed change at a variety of points in a graph. Vector fields are extremely useful for visualizing machine learning techniques like Gradient Descent.

A matrix is a rectangular grid of numbers or terms (like an Excel spreadsheet) with special rules for addition, subtraction, and multiplication.
We describe the dimensions of a matrix in terms of (rows, columns).

Scalar operations with matrices work the same way as they do for vectors. Simply apply the scalar to every element in the matrix — add, subtract, divide, multiply, etc.
Figure 11. matrix scalar addition

In order to add, subtract, or divide two matrices they must have equal dimensions. We combine corresponding values in an elementwise fashion to produce a new matrix.
Figure 12. matrix addition

Hadamard product of matrices is an elementwise operation. Values that correspond positionally are multiplied to produce a new matrix.

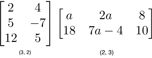
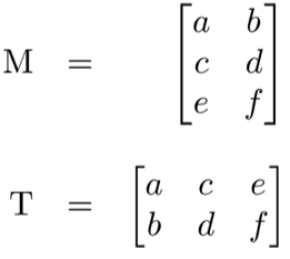
Neural networks frequently process weights and inputs of different sizes where the dimensions do not meet the requirements of matrix multiplication. Matrix transpose provides a way to “rotate” one of the matrices so that the operation complies with multiplication requirements and can continue.
There are two steps to transpose a matrix:
Figure 14. M -> T transpose

Matrix multiplication specifies a set of rules for multiplying matrices together to produce a new matrix.

The operation a1 · b1 means we take the dot product of the 1st row in matrix A (1, 7) and the 1st column in matrix B (3, 5).

Here’s another way to look at it:

Implemented Matrix scalar operations, Matrix elementwise operations, and Matrix multiplication operation without Hadamard operations.
class Matrix {
constructor(rows, cols) {
this.rows = rows;
this.cols = cols;
this.data = Array(this.rows).fill().map(() => Array(this.cols).fill(0));
}
}
class Matrix {
toArray() {
const arr = [];
for (let i = 0; i < this.rows; i++) {
for (let j = 0; j < this.cols; j++) {
arr.push(this.data[i][j]);
}
}
return arr;
}
static map(matrix, func) {
// apply a function to every element of matrix
return new Matrix(matrix.rows, matrix.cols)
.map((e, i, j) => func(matrix.data[i][j], i, j));
}
randomize() {
return this.map(e => Math.random() * 2 - 1);
}
print() {
console.table(this.data);
return this;
}
serialize() {
return JSON.stringify(this);
}
static deserialize(data) {
if (typeof data == 'string') {
data = JSON.parse(data);
}
const matrix = new Matrix(data.rows, data.cols);
matrix.data = data.data;
return matrix;
}
}
class Matrix {
static transpose(matrix) {
return new Matrix(matrix.cols, matrix.rows)
.map((_, i, j) => matrix.data[j][i]);
}
}
class Matrix {
add(n) {
if (n instanceof Matrix) {
if (this.rows !== n.rows || this.cols !== n.cols) {
console.error('Columns and Rows of A must match Columns and Rows of B.');
return;
}
// matrix adding
return this.map((e, i, j) => e + n.data[i][j]);
} else {
// scalar adding
return this.map(e => e + n);
}
}
}
class Matrix {
static subtract(a, b) {
if (a.rows !== b.rows || a.cols !== b.cols) {
console.error('Columns and Rows of A must match Columns and Rows of B.');
return;
}
return new Matrix(a.rows, a.cols).map((_, i, j) => a.data[i][j] - b.data[i][j]);
}
}
class Matrix {
static multiply(a, b) {
if (a.cols !== b.rows) {
console.error('Columns of A must match rows of B.');
return;
}
return new Matrix(a.rows, b.cols)
.map((e, i, j) => {
let sum = 0;
for (let k = 0; k < a.cols; k++) {
sum += a.data[i][k] * b.data[k][j];
}
return sum;
});
}
multiply(n) {
if (n instanceof Matrix) {
if (this.rows !== n.rows || this.cols !== n.cols) {
console.error('Columns and Rows of A must match Columns and Rows of B.');
return;
}
// hadamard product
return this.map((e, i, j) => e * n.data[i][j]);
} else {
// scalar product
return this.map(e => e * n);
}
}
}